Skip to content
Christopher E. Miles

Christopher E. Miles

Associate Professor
Department of Mathematics
chris.miles(at)utah(dot)edu

Mathematics and computations for cell and molecular biology.

Stochastic spatiotemporal dynamics of subcellular organization.

Methods

  • mechanistic biophysical modeling
  • stochastic processes
  • scientific ML

Biology

  • cell division (mitosis/meiosis)
  • cytoskeleton
  • spatial genomics

Latest News

Feb 26

Our paper on how the kinetochore corona orchestrates chromosome congression is out in PNAS!

Jan 26

New preprint on reconstructing actin dynamics from observational data with the Mogilner and Danuser groups.

Research Themes

We study how cellular function arises from the spatiotemporal self-organization of stochastic molecular components. We build mechanistic models grounded in biophysics and pair them with machine learning, usually in close collaboration with experimental scientists. The goal is to turn rich measurements into testable theories and useful computational tools.

Generously supported by
NSF NIH/NIGMS Hellman Fellows Fund

Spatial Genomics

Microscopy and spatial transcriptomics (like smFISH) can now pinpoint individual RNA molecules inside a cell. But where an RNA lives, its subcellular localization, proximity to the nucleus, splicing state, is often as informative as how many there are. We build stochastic models that connect these static spatial snapshots to the kinetic processes shaping RNA and chromatin organization.

RNA splicing spatial transcriptomics reaction-diffusion point processes nuclear organization

Cytoskeleton & Cell Division

Cells rely on teams of motor proteins and filaments for a zoo of tasks, from hauling cargo across enormous intracellular distances to orchestrating chromosome capture during division. These molecular machines behave randomly as individuals yet produce remarkably reliable outcomes as collectives. We build stochastic mechanical models to understand how reliability emerges from randomness.

mitosis molecular motors actin dynamics meiosis

Scientific Machine Learning

While we rarely build new tools for their own sake, biological data is heterogeneous, high-dimensional, and structured in ways that off-the-shelf methods struggle with. To extract interpretable understanding from this data, we develop approaches combining mechanistic stochastic models with modern machine learning, spanning simulation-based and Bayesian inference, physics-informed neural networks, and variational methods.

simulation-based inference PINNs identifiability model discovery

Selected Publications

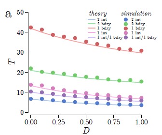
Figure from Reconstructing Actin Dynamics

Reconstructing Actin Dynamics of the Leading Edge from Observational Data

W Shi, CE Miles, J Noh, G Danuser, A Mogilner
Submitted 2026 bioRxiv
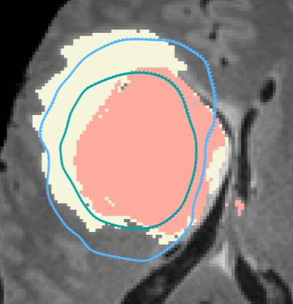
Figure from Kinetochore Corona and Congression

The kinetochore corona orchestrates chromosome congression through transient microtubule interactions

CE Miles, F Renda, I Tikhonenko, A Alfieri, A Mogilner, A Khodjakov
PNAS 2026 PDF
Figure from BiLO Operator Learning for PDEs

BiLO: Bilevel Local Operator Learning for PDE Inverse Problems

RZ Zhang, CE Miles, X Xie, JS Lowengrub
J Comp Phys 2026 PDF
Figure from Bayesian BiLO with Low-Rank Adaptation

Bayesian BiLO: Bilevel Local Operator Learning for Efficient Uncertainty Quantification of Bayesian PDE Inverse Problems with Low-Rank Adaptation

RZ Zhang, CE Miles, X Xie, JS Lowengrub
Submitted 2025 arXiv
Figure from Transcriptional Bursting Inference

Scalable inference and identifiability of kinetic parameters for transcriptional bursting from single cell data

J Gu, N Laszik, CE Miles, J Allard, TL Downing, EL Read
Bioinformatics 2025 PDF
Figure from Stochastic Gene Expression Review

Mechanistic inference of stochastic gene expression from structured single-cell data (review)

CE Miles
Curr Opin Sys Bio 2025 PDF
Figure from Murray Law in Pulmonary Arteries

Revisiting Murray's Law in Pulmonary Arteries: Exploring Branching Patterns and Principles

SA Correa, A Kachabi, M Colebank, CE Miles, N Chelser
J Biomech Eng 2025 PDF
Figure from Bursty Transcription with Diffusion

Incorporating spatial diffusion into bursty stochastic models of transcription

CE Miles
Roy Soc Interface 2025 PDF
Figure from Kinesin-1 and Tubulin C-Terminal Tails

Computational modeling reveals a catch-and-guide interaction between kinesin-1 and tubulin C-terminal tails

T Nguyen, SP Gross, CE Miles
Traffic 2025 PDF
Figure from Ribosome Biogenesis at Nuclear Periphery

Coaching ribosome biogenesis from the nuclear periphery

Y Zhuang, X Guo, OV Razorenova, CE Miles, W Zhao, X Shi
Submitted 2024 bioRxiv
Figure from Variational Markov Chain Mixtures

Variational Markov chain mixtures with automatic component selection

CE Miles, RJ Webber
Statistics & Computing 2026 PDF arXiv
Figure from Inferring Rates from Particle Snapshots

Inferring stochastic rates from heterogeneous snapshots of particle positions

CE Miles, SA McKinley, F Ding, RB Lehoucq
Bull Math Bio 2024 PDF
Figure from Kinesin Binding Times

Competition between physical search and a weak-to-strong transition rate-limits kinesin binding times

T Nguyen, BJN Reddy, SP Gross, CE Miles
PLoS Comp Bio 2024 Open Access
Figure from SoCAMS 2023 Symposium

Mathematicians Convene at 2023 Southern California Applied Mathematics Symposium (SoCAMS)

M Aminian, K Kurianski, A Ma, CE Miles
SIAM News 2023 Link
Figure from Heterogeneous Collective Motion

Intrinsic statistical separation of subpopulations in heterogeneous collective motion via dimensionality reduction

P Tan, CE Miles
Phys Rev E 2024 PDF
Figure from Stochastic Delayed Feedback Switching

Stochastic switching of delayed feedback suppresses oscillations in genetic regulatory systems

BR Karamched, CE Miles
Roy Soc Interface 2023 Open Access
Figure from Transiently-Bound Fast Linkers

Coarse-grained dynamics of transiently-bound fast linkers

S Marbach, CE Miles
J Chem Phys 2023 PDF
Figure from Actin Network Mechano-Sensing

Mechano-sensing in actin networks: capping it off for robustness

CE Miles, A Mogilner
Curr Bio (dispatch) 2022 PDF
Figure from Non-Centrosomal Microtubules at Kinetochores

Non-centrosomal microtubules at kinetochores promote rapid chromosome biorientation during mitosis in human cells

F Renda, CE Miles, ..., A Mogilner, A Khodjakov
Current Biology 2022 PDF
Figure from Mitotic Spindle Bipolarity via Torque

Mechanical torque promotes bipolarity of the mitotic spindle

CE Miles, J Zhu, A Mogilner
Bull Math Bio 2022 PDF
Figure from Collective Molecular Motor Transport

Collective Molecular Motor Transport

CE Miles, A Mogilner
Case Studies in Sys Bio (book) 2021 Springer
Figure from Kinetochore Morphology and Tension

Effects of malleable kinetochore morphology on measurements of intrakinetochore tension

F Renda, ..., CE Miles, A Mogilner, A Khodjakov
Open Biology 2020 Open Access
Figure from Actin-Membrane Release and Protrusions

Actin-Membrane Release Initiates Cell Protrusions

ES Welf, CE Miles, ..., A Mogilner, G Danuser
Dev Cell 2020 PDF
Figure from Receptor Organization and Direction Sensing

Receptor organization shapes the limits of single-cell direction sensing

SD Lawley, AE Lindsay, CE Miles
Phys Rev Lett 2020 PDF
Figure from Diffusive Search for Diffusing Targets

Diffusive search for diffusing targets with fluctuating diffusivity and reactivity

SD Lawley, CE Miles
J Nonlinear Sci 2019 PDF
Figure from Microtubule Cargo Immotile Behavior

Complex nearly immotile behavior of microtubule-associated cargos

O Osunbayo, CE Miles, BJ Reddy, JP Keener, MD Vershinin
Soft Matter 2019 PDF
Figure from Receptor Diffusion and Association Rates

How receptor surface diffusion and cell rotation enhance association rates

SD Lawley, CE Miles
SIAM J Appl Math 2019 PDF
Figure from Non-Processive Motor Transport Analysis

Analysis of non-processive molecular motor transport using renewal reward theory

CE Miles, SD Lawley, JP Keener
SIAM J Appl Math 2018 PDF
Figure from Jump-Diffusion Process Locations

Jump locations of jump-diffusion processes with state-dependent rates

CE Miles, JP Keener
J Phys A 2017 PDF
Figure from Bidirectional Motor-Mediated Transport

Bidirectionality from cargo thermal fluctuations in motor-mediated transport

CE Miles, JP Keener
J Theor Bio 2017 PDF
Google Scholar

The Team

Jacy Zanussi

Jacy Zanussi

PhD Student UCI MCSB

stochastic gene expression + simulation-based inference

fav veggie: all peppers 🌶️ (approved as honorary vegetable)

Austin Marcus

Austin Marcus

PhD Student UCI MCSB

nuclear condensates, cilia (co-advised w/ Jun Allard)

fav veggie: onion 🧅

Rebecca Gu

Rebecca (Rujie) Gu

PhD Student UCI Math

physics-informed neural networks + point processes

fav veggie: spinach 🍃

Matt Lastner

Matt Lastner

PhD Student Utah Math Bio

meiosis biophysics, polymer models (co-advised w/ Ofer Rog)

fav veggie: sweet potato 🍠

🥦

You?

Prospective students can apply to the Utah math graduate program and/or reach out to Chris. Be prepared to defend your favorite vegetable.

Apply to Utah Math

About Chris

Miscellany